| ¡¡
Âó¿Ë˹Τ¡°»µ°¡±
1845ÄêÊ®ËÄËêµÄÂó¿Ë˹Τ¸úËæ¸¸Ç×µ½°®¶¡±¤»Ê¼Òѧ»á²Î¼ÓѧÊõ»áÒé¡£»áÉÏ£¬Ëû¿´µ½ÓÐһλ»¼ÒÒ¶º£ÒÁÔÚ±íÑÝÓü¸ºÎ×÷ͼ·½·¨»ÍÖÔ²¡£Ð¡Âó¿Ë˹Τ´ÓС¾Íϲ»¶Ë¼¿¼ÎÊÌ⣬Ëû´ÓÕâ´Î±íÑÝÊܵ½Á˺ܴóµÄÆô·¢¡£ËûÏë¼ÈÈ»ÍÖÔ²Õâ¸ö¶þ´ÎÇúÏßÄÜÓüòÒ×·½·¨»³ö£¬ÄÇô£¬ÓÃ×÷ͼ·½·¨Äܲ»ÄÜ»³ö¸´Ôӵġ°µ°ÐΡ±ÄØ£¿ÊÜºÃÆæÐĺÍÇóÖªÓûµÄÇýʹ£¬Âó¿Ë˹Τ¿ªÊ¼×êÑÐÆðÀ´¡£²»¾Ã£¬ËûÕÒµ½ÁË»¡°µ°ÐΡ±ÇúÏߵķ½·¨£¬½Ó×ÅÓֵõ½¡°µ°ÐΡ±ÇúÏßµÄÊýѧʽ×Ó¡£
Âó¿Ë˹ΤµÄÑо¿Êܵ½Ëû¸¸Ä¸µÄºÃÓÑ¡¢°®¶¡±¤´óѧÊýѧ½ÌÊÚ¸£²¼Ê©µÄÖØÊÓ£¬ÔÚ½ÌÊÚµÄÖ¸µ¼Ï£¬Âó¿Ë˹Τ½«ÕâÒ»³É¹ûд³ÉÂÛÎÄ¡£¿ÉÊÇÓÉÓÚËûÄê¼ÍС£¬¸ö×Ӻͽ²Ì¨²î²»¶à¸ß£¬ÂÛÎÄÖ»µÃÓɸ£²¼Ê©´úËûÔÚѧÊõ»áÉÏÐû¶Á£¬Ê®ÎåËêµÄÂó¿Ë˹ΤÒò´Ë»ñµÃÁ˽ðÖʽ±¡£Õâ¼þʵãȼÁËËûÖǻ۵Ļ𻨣¬´Ó´Ë£¬ÑïÆðÐÅÐĵķ緫£¬¿ªÊ¼ÁË¿ÆÑ§ÉúÑĵÄÂó̡£
ÊÜÕâ´Î³É¹¦µÄÓ°Ï죬Âó¿Ë˹ΤÖð½¥Ï°¹ßÓÃÊýÐνáºÏµÄ˼ά·½·¨£¬Ê®ÁùËê½ø´óѧºó£¬µ±Ò»¸öÎÊÌâ¿ÉÒÔÓÃÊýѧ·ÖÎöÇó½âʱ£¬Ëû×ÜÊǶÀÌØµØÔÙÓü¸ºÎ·½·¨À´Ë¼¿¼¡£»òÊǰѼ¸ºÎÎÊÌâÓ÷ÖÎöµÄ·½·¨¼ÓÒÔÑо¿¡£ºóÀ´£¬ËûµÃÒÔ°Ñ·¨ÀµÈµÄ´ÅÁ¦ÏßÏëÏó³ÉÒ»Á¬´®µÄ¡°äöÎС±£¬½¨Á¢ËüÃǵķ½³Ì£¬µÃµ½µç´ÅѧÀíÂÛµÄÊýѧģÐÍ¡£1855Ä꣬¶þÊ®ËÄËêµÄÂó¿Ë˹Τд³É¡¶ÂÛ·¨ÀµÚÁ¦Ïß¡·µÄÂÛÎÄ£¬°Ñ´ÅÁ¦ÏߵĸÅÄîÓÃÊýѧ×÷Á˱íÊö
¡£Æ¾½èËûµÄÊýѧ²ÅÄܰѷ¨ÀµÚµÄ³É¹û¼ÓÒÔ×ܽáÌá¸ß£¬ÕâÆªÂÛÎijÉÁËËû²½ÈëÊýѧÎïÀíѧ¼ÒÐÐÁеĵÚÒ»²½¡£
¡¡¡¡
¡¡¡¡ÎïÀíÑо¿µÄ³É¹¦Ô´ÓÚÓÐÔúʵµÄÊýѧ»ù´¡
¡¡¡¡ºóÀ´Âó¿Ë˹תѧµ½Á˽£ÇÅ´óѧÈýһѧԺ¡£ÔÚ½£ÇÅѧϰÆÚ¼ä£¬Ëû´òÏÂÁËÔúʵµÄÊýѧ»ù´¡£¬ÎªËû¶ûºó°ÑÊýѧ·ÖÎöºÍʵÑéÑо¿½ôÃܽáºÏµì¶¨Á˺ܺõĻù´¡¡£ËûÔĶÁÁËW.ÌÀÄ·ÉúµÄ¿ÆÑ§Öø×÷£¬ËûÊ®·ÖÔÞͬ·¨ÀµÚÌá³öµÄй۵㣬²¢ÇÒ¾«ÐÄÑо¿·¨ÀµÚµÄ¡¶µçѧµÄʵÑéÑо¿¡·Ò»Êé¡£ËûÒÔ·¨ÀµÚµÄÁ¦Ï߸ÅÄîΪָµ¼£¬Í¸¹ýÕâÐ©ËÆºõÔÓÂÒÎÞÕµÄʵÑé¼Ç¼£¬¿´³öÁËËüÃÇÖ®¼äʵ¼ÊÉϹᴩ×ÅһЩ¼òµ¥µÄ¹æÂÉ¡£ÓÚÊÇ£¬Ëû·¢±íÁ˵Úһƪµç´ÅѧÂÛÎÄ¡¶ÂÛ·¨ÀµÚµÄÁ¦Ïß¡·¡£ÔÚÕâÆªÂÛÎÄÖУ¬·¨ÀµÚµÄÁ¦Ï߸ÅÄî»ñµÃÁ˾«È·µÄÊýѧ±íÊö£¬²¢ÇÒÓɴ˵¼³öÁË¿âÂØ¶¨Âɺ͸ß˹¶¨ÂÉ¡£ÕâÆªÎÄÕ»¹Ö»ÊÇÏÞÓÚ°Ñ·¨ÀµÚµÄ˼Ïë·Òë³ÉÊýѧÓïÑÔ£¬»¹Ã»ÓÐÒýµ¼µ½ÐµĽá¹û¡£
19ÊÀ¼ÍÉϰëÒ¶£¬µç´ÅѧµÄʵÑéÑо¿·¢Õ¹Ñ¸ËÙ£¬¶þÈýÊ®Äê´ú·¢ÏÖÁ˵çÁ÷µÄ´ÅЧӦºÍµç´Å¸ÐÓ¦ÏÖÏ󣬴òÆÆÁ˵çÓë´ÅÊǹÂÁ¢ÏÖÏóµÄ´«Í³¹ÛÄî¡£µ«Êǵç´ÅѧµÄÀíÂÛÑо¿½øÕ¹Ïà¶Ô»ºÂý£¬ÎÞ·¨½¨Á¢°ÑµçÏÖÏóºÍ´ÅÏÖÏóͳһÆðÀ´µÄÀíÂÛÌåϵ¡£µ½1850Äêǰºó£¬µçºÍ´ÅµÄʵÑéºÍÀíÂÛÑо¿¶¼»ýÀÛÁË´óÁ¿µÄ¡¢È»¶øÓÖÊDz»È«ÃæµÄ³É¹û£¬ÆÈÇÐÒªÇóÔÚ¸ü¼ÓÆÕ±éµÄ¹ÛµãϼÓÒÔ¸ÅÀ¨ºÍ×ܽᡣµ«Êǵ±Ê±µÄÈËÃÇÊÜÅ£¶ÙÁ¦Ñ§¹ÛµÄÓ°Ï죬ÈÏΪµçÁ¦ºÍ´ÅÁ¦µÄ×÷ÓúÍÒýÁ¦×÷ÓÃÒ»ÑùÊÇ¡°³¬¾à×÷Óᱡ£ÕýÊÇÕâÖÖ´«Í³¹ÛÄî×è°Á˵çºÍ´ÅµÄͳһ¡£Ö±µ½·¨ÀµÚÌá³ö¡°³¡¡±µÄ¸ÅÄîÖ®ºó£¬ÕâÖÖ´íÎóµÄ¹ÛÄî²Å±»´òÆÆ£¬µ«ÊÇ·¨ÀµÚµÄ˼ÏëȴΪµ±Ê±¾ø´ó¶àÊý¿ÆÑ§¼ÒËùÇáÊÓ¡£
¡°ÎÒ×îÖØÒªµÄ¹¤×÷Êǰѷ¨ÀµÚµÄÎïÀí¹ÛµãÓÃÊýѧ±í´ï³öÀ´¡±
ʹÂó¿Ë˹Τ³ÉΪÀúÊ·ÉÏ×îΰ´óµÄ¿ÆÑ§¼ÒÖ®Ò»µÄ¹¤×÷ÊÇËû¹ØÓÚµç´ÅѧµÄÑо¿£¬Âó¿Ë˹Τ˵£¬¡°ÎÒ×îÖØÒªµÄ¹¤×÷Êǰѷ¨ÀµÚµÄÎïÀí¹ÛµãÓÃÊýѧ±í´ï³öÀ´¡±¡£Âó¿Ë˹ΤÌá³öµÄµç´Å·øÉäµÄ¸ÅÄîºÍËûµÄ³¡·½³Ì×飬ÊǸù¾Ý·¨ÀµÚµÄµçÁ¦ÏߺʹÅÁ¦ÏßµÄʵÑé¹Û²ìÌá³öÀ´µÄ£¬´Ó¶øÒý³öÁ˰®Òò˹̹µÄÏÁÒåÏà¶ÔÂÛ£¬²¢½¨Á¢ÁËÖÊÁ¿ºÍÄÜÁ¿µÄµÈЧÐÔÔÀí¡£Âó¿Ë˹Τ±»´ó¶àÊý½ü´úÎïÀíѧ¼Ò¿´×÷ÊÇ19ÊÀ¼ÍµÄ¿ÆÑ§¼Ò£¬µ«Ëû¶Ô20ÊÀ¼ÍµÄÎïÀíѧӰÏìºÜ´ó£¬ËûÓëÅ£¶ÙºÍ°®Òò˹̹ÆëÃû¡£
Âó¿Ë˹Τ´Ó½£ÇÅ´óѧ±ÏÒµºó²»¾Ã¾Í¿ªÊ¼Ñо¿µç´Åѧ¡£ËûÑ¡ÔñÁË¡°³¡¡±µÄ¸ÅÄî×÷ΪÑо¿µÄ³ö·¢µã¡£ÔÚ1855Äêµ½1864Äê¼ä£¬Âó¿Ë˹Τ´Ó³¡µÄ¹Ûµã¶Ô·¨ÀµÚµç´Å¸ÐÓ¦¶¨ÂɽøÐÐÁËÀíÂÛ·ÖÎö£¬ÔÚ×ܽáǰÈ˹¤×÷µÄ»ù´¡ÉÏÒýÈëÎ»ÒÆµçÁ÷µÄ¸ÅÄ½¨Á¢ÁËÒ»×é΢·Ö·½³Ì£¬¾ÍÊÇÖøÃûµÄÂó¿Ë˹Τ·½³Ì×é¡£¸Ã·½³Ì×éÈ·¶¨µçºÉ¡¢µçÁ÷£¨Ô˶¯µÄµçºÉ£©¡¢µç³¡¡¢´Å³¡Ö®¼äµÄÆÕ±éÁªÏµ£¬Êǵç´ÅѧµÄ»ù±¾·½³Ì¡£Õâ×é·½³Ì²»½ö±ê־מµäÎïÀíѧ´óÏõÄ×îºóÍê³É£¬¶øÇÒÔ¤¼ûÁ˵ç´Å²¨µÄ´æÔÚ£¬²¢Ö¤Ã÷µç´Å²¨´«²¥µÄËÙ¶ÈÓëÕæ¿ÕÖеĹâËÙÊÇÏàͬµÄ¡£ÓÉÓÚ¹âºÍµç´Å²¨ÔÚ±¾ÖÊÉÏÊÇÏàͬµÄ¡£¹âÊÇÒ»¶¨²¨³¤µÄµç´Å²¨£¬Õâ¾ÍÊÇÂó¿Ë˹Τ´´Á¢µÄ¹âµÄµç´Åѧ˵¡£ÕâÊÇÈËÀàÔÚÈÏʶ¹âµÄ±¾ÐÔ·½ÃæµÄÓÖÒ»´ó½ø²½¡£ÕýÊÇÔÚÕâÒ»ÒâÒåÉÏ£¬ÈËÃÇÈÏΪÂó¿Ë˹Τ°Ñ¹âѧºÍµç´ÅѧͳһÆðÀ´ÁË£¬ÕâÊÇ19ÊÀ¼Í¿ÆÑ§Ê·ÉÏ×îΰ´óµÄ×ÛºÏÖ®Ò»¡£
 |
1864Ä꣬Âó¿Ë˹Τ·¢±íÁËһƪÓл®Ê±´úÒâÒåµÄµç´ÅѧÂÛÎÄ£¬ÕâÊÇËûÔÚ¾ÀúÁËÎÞÊý´ÎµÄʧ°Üºó£¬Óô¿ÊýѧµÄ·½·¨¶Ô×Ô·¨ÀµÜ¡¢°²ÅàÒÔÀ´µÄµç´ÅÀíÂ۵ijɹ¦×ܽᣬËûÔÚÆäÖн«È«²¿µç´ÅÏÖÏó¹æÂɹé½á±íÊöΪÁ½×é·½³Ì£¬¼´Âó¿Ë˹Τ·½³Ì£¬²¢¸ù¾Ý¶ÔÕâÁ½×é·½³ÌµÄÍÆµ¼½á¹û´óµ¨µØÔ¤ÑÔÁËÒ»ÖÖÒÔ¹âËÙ´«²¥×ŵIJ¨Ò²¾ÍÊǵç´Å²¨µÄ´æÔÚ¡£
Âó¿Ë˹ΤµÄÀíÂÛµ±Ê±Ö»ÓÐÉÙÊý¼¸¸öÓÌÔ¥²»¾öµÄÖ§³ÖÕß¡£24Äêºó£¬µÂ¹úÎïÀíѧ¼ÒºÕ×ÈÔÚÕñ±U·ÅµçʵÑéÖÐÖ¤Ã÷ÁËÂó¿Ë˹ΤµÄÔ¤ÑÔ£¬²»¾ÃÒâ´óÀûµÄÂí¿ÉÄáºÍ¶í¹úÈ˲¨²¨·òÓÖÔÚºÕ×ÈʵÑéµÄ»ù´¡Éϸ÷×Ô¶ÀÁ¢µØ·¢Ã÷ÁËÎÞÏߵ籨¡£ |
ÕâÑù£¬Âó¿Ë˹Τ·½³Ì²»½öʵÏÖÁË×ÔÅ£¶ÙÒÔÀ´ÎïÀíѧµÄÓÖÒ»´Îΰ´ó×ۺϣ¬¶øÇÒΪÈÕºó·çÃÒÈ«ÇòµÄÎÞÏߵ缼Êõµì¶¨ÁË»ù´¡£¬´Ó´Ëµç´Å²¨×ß½øÁËǧ¼ÒÍò»§µÄÉú»î¡£
ÓÐÈË˵Âó¿Ë˹Τ·½³ÌÊǸıäÊÀ½çµÄ·½³Ì£¬ÕâÒ»µãÒ²²»Ëã¿äÕÅ¡£ÉîÈëÁË½â¿ÆÑ§µÄÀúÊ·½«»á·¢ÏÖ£¬ÕâÑùµÄ·½³Ì»¹Ô¶²»Ö¹ÊÇÂó¿Ë˹Τ·½³Ì¡£Ó¦¸Ã˵Ã÷£¬ÊýѧÓëÈËÀàÉú²úµÄÁªÏµÊǸ´Ôӵġ¢ÇúÕ۵ġ£ÊýѧÍùÍù»á×ßÔÚǰͷ£¬È»ºóÔÙÔÚÉú²úÖлñµÃÓ¦Ó㬼´ÒÀ¿¿ÊýѧÄÚ²¿Ã¬¶ÜµÄÍÆ¶¯¶ø·¢Õ¹ÆðÀ´µÄ´¿´âµÄ¡¢³éÏóµÄÀíÂÛ£¬×îÖջᷴ¹ýÀ´Íƶ¯Éç»áÉú²úµÄ·¢Õ¹£¬ÔÚ¿ÆÑ§Ê·Éϲ»·¦ÕâÑùµÄÀý×Ó¡£
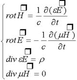
Âó¿Ë˹Τ·½³Ì×éÒÔÒ»ÖÖ¹«Àí¹ØÏµµÄ·½³Ì×éÐÎʽ±í´ïÁ˵ç´Å³¡µÄ±¾ÖÊ£¬±íÏÖÁËÎïÀíѧ½ø²½µÄÕæÕýÌØÕ÷¡£ËûÒÔ·¨ÀµÚµÄÁ¦Ï߸ÅÄîΪָµ¼£¬Í¸¹ýÕâÐ©ËÆºõÔÓÂÒÎÞÕµÄʵÑé¼Ç¼£¬¿´³öÁËËüÃÇÖ®¼äʵ¼ÊÉϹᴩ×ÅһЩ¼òµ¥µÄ¹æÂÉ¡£ÓÚÊÇ£¬Ëû·¢±íÁ˵Úһƪµç´ÅѧÂÛÎÄ¡¶ÂÛ·¨ÀµÚµÄÁ¦Ïß¡·¡£ÔÚÕâÆªÂÛÎÄÖУ¬·¨ÀµÚµÄÁ¦Ï߸ÅÄî»ñµÃÁ˾«È·µÄÊýѧ±íÊö£¬²¢ÇÒÓɴ˵¼³öÁË¿âÂØ¶¨Âɺ͸ß˹¶¨ÂÉ¡£ÕâÆªÎÄÕ»¹Ö»ÊÇÏÞÓÚ°Ñ·¨ÀµÚµÄ˼Ïë·Òë³ÉÊýѧÓïÑÔ£¬»¹Ã»ÓÐÒýµ¼µ½ÐµĽá¹û¡£
1855Ä꣬½£ÇÅ´óѧÐüÉͽâ¾öÍÁÐǹ⻷µÄ×é³ÉºÍÎȶ¨ÐÔÎÊÌâ¡£Âó¿Ë˹ΤÔÚ³¢ÊÔ½â¾öÕâÒ»ÎÊÌâµÄ¹ý³ÌÖжԴóÁ¿ÅöײÎïÌåµÄÔ˶¯ÎÊÌâ·¢ÉúÁËÐËȤ£¬²¢ÊÔͼÓøÅÂÊÀíÂÛ¼ÓÒÔÑо¿¡£1859Ä꣬ËûÔËÓøÅÂÊÀíÂÛµ¼³öÁËÖøÃûµÄÂó¿Ë˹ΤËÙ¶È·Ö²¼ÂÊ¡£ËûµÄÕâÒ»¹¤×÷µì¶¨ÁËÆøÌåͳ¼ÆÁ¦Ñ§µÄ»ù´¡£¬±êÖ¾×ÅÎïÀíѧмÍÔªµÄ¿ªÊ¼¡£Í³¼Æ¹ÛÄîµÄÈ·Á¢Êǽü´úÎïÀíѧ˼ÏëÉϵÄÒ»¸öÖØÒª×ª±ä£¬Ëü²»½öÔÚ½ü´ú»úе×ÔÈ»¹ÛÉÏ´ò¿ªÁËÒ»¸öȱ¿Ú£¬¶øÇÒΪÁ¿×ÓÁ¦Ñ§µÄ½¨Á¢ºÍ·¢Õ¹ÌṩÁË˼ÏëÎäÆ÷ºÍ·½·¨¹¤¾ß¡£
1862ÄêËû·¢±íÁ˵ڶþƪÂÛÎÄ¡¶ÂÛÎïÀíÁ¦Ïß¡·£¬²»µ«½øÒ»²½·¢Õ¹ÁË·¨ÀµÚµÄ˼Ï룬À©³äµ½´Å³¡±ä»¯²úÉúµç³¡£¬¶øÇҵõ½ÁËеĽá¹û£ºµç³¡±ä»¯²úÉú´Å³¡£¬ÓÉ´ËÔ¤ÑÔÁ˵ç´Å²¨µÄ´æÔÚ£¬²¢Ö¤Ã÷ÁËÕâÖÖ²¨µÄËٶȵÈÓÚ¹âËÙ£¬½ÒʾÁ˹âµÄµç´Å±¾ÖÊ¡£ÕâÆªÎÄÕ°üÀ¨ÁËÂó¿Ë˹ΤÑо¿µç´ÅÀíÂÛ´ïµ½µÄÖ÷Òª½á¹û¡£1864ÄêËûµÄµÚÈýƪÂÛÎÄ¡¶µç´Å³¡µÄ¶¯Á¦Ñ§ÀíÂÛ¡·£¬´Ó¼¸¸ö»ù±¾ÊµÑéÊÂʵ³ö·¢£¬ÔËÓó¡Â۵Ĺ۵㣬ÒÔÑÝÒï·¨½¨Á¢ÁËϵͳµÄµç´ÅÀíÂÛ¡£1873Äê³ö°æµÄ¡¶µçѧºÍ´ÅѧÂÛ¡·Ò»ÊéÊǼ¯µç´Åѧ´ó³ÉµÄ»®Ê±´úÖø×÷£¬È«ÃæµØ×ܽáÁË19ÊÀ¼ÍÖÐÒ¶ÒÔǰ¶Ôµç´ÅÏÖÏóµÄÑо¿³É¹û£¬½¨Á¢ÁËÍêÕûµÄµç´ÅÀíÂÛÌåϵ¡£ÕâÊÇÒ»²¿¿ÉÒÔͬţ¶ÙµÄ¡¶×ÔÈ»ÕÜѧµÄÊýѧÔÀí¡·¡¢´ï¶ûÎĵġ¶ÎïÖÖÆðÔ´¡·ºÍÀµ¶ûµÄ¡¶µØÖÊѧÔÀí¡·ÏàæÇÃÀµÄÀï³Ì±®Ê½µÄÖø×÷¡£
ÔÚÓ¢¹ú¹ã²¥¹«Ë¾ÆÀÑ¡µÄ½üһǧÄê×îΰ´óµÄʮλ˼Ïë¼Ò£¬Ó¢¹úÎïÀíѧ¼Òղķ˹¡¤Âó¿Ë˹Τ°ñÉÏÓÐÃû¡£Âó¿Ë˹Τ¶Ô¿ÆÑ§µÄΰ´ó¹±Ï×ÔÚÓÚËûÌá³öºÍ·¢Õ¹ÁËеÄÊÀ½ç¹Û£¬ÎªÎ´À´µÄ¿ÆÑ§Ñо¿Ö¸Ã÷ÁË·½Ïò¡£ËûµÄµç´ÅѧÀíÂÛͨÏòÏà¶ÔÂÛ£»ËûµÄÆøÌ嶯Á¦Ñ§ÀíÂÛ¶ÔÁ¿×ÓÂÛÆð¹ý×÷Óã»Ëû³ï½¨²¢Áìµ¼µÄ¿¨ÎĵÏÐíʵÑéÊÒÒýµ¼ÁËʵÑéÔ×ÓÎïÀíѧµÄ·¢Õ¹¡£ÕâÒ»ÇÐʹËû³ÉΪţ¶ÙÖ®ºó¡¢°®Òò˹̹֮ǰ×îÖØÒªµÄÎïÀíѧ¼Ò¡£ |