|
¿ªÆÕÀÕÉí²ÐÒâÖ¾Á¦È´ºÜÍçÇ¿£¬1587Ä꿪ÆÕÀÕ¿¼½øÁ˵ٱö¸ù´óѧ£¬Ö÷ÐÞÕÜѧºÍÉñѧ£¬²¢ÇÒ»¹Ñ§Ï°ÁËÊýѧÓëÌìÎÄѧµÄ¿Î³Ì¡£ÔÚ´óѧËûÓöµ½ÃØÃÜÐû´«¸ç°×Äáѧ˵µÄÌìÎÄѧ½ÌÊÚÂóË¹ÌØÁÖ£¬ÔÚËûµÄÓ°ÏìÏ£¬¿ªÆÕÀպܿì³ÉΪ¸ç°×Äáѧ˵µÄÖÒʵά»¤Õߣ¬1591Äê»ñµÃÎÄѧ˶ʿѧλ¡£1594ÄêÊÜÆ¸ÓڰµØÀûµÄ¸ñÀ´Ä·µÂÅɸßÖÐÈÎÊýѧ½Ìʦ¡£
¿ªÆÕÀÕ¶ÔÌìÎÄѧÓÐŨºñµÄÐËȤ£¬»¨Á˴󲿷ֵÄʱ¼äѧϰÌìÎÄѧµÄ֪ʶ£¬²¢Ñо¿Óйظ÷¸öÐÐÐÇÓëÌ«ÑôÖ®¼ä¾àÀëÎÊÌ⣬ÔÚ1596ÄêÒò³ö°æÁË¡¶ÓîÖæµÄÉñÃØ¡·Ò»Ê飬Êܵ½ÖøÃûµÄÌìÎÄѧ¼ÒµÚ¹ÈµÄÉÍʶ£¬±»ÑûÇëµ½²¼À¸ñ¸½½üµÄÌìÎĄ̈×öÑо¿¹¤×÷¡£1600Ä꿪ÆÕÀÕµ½²¼À¸ñ³ÉΪµÚ¹ÈµÄÖúÊÖ¡£´ÎÄêµÚ¹ÈÈ¥ÊÀ£¬µÚ¹ÈÔÚÁÙÖÕǰ½«×Ô¼º¶àÄê»ýÀÛµÄÌìÎĹ۲â×ÊÁÏÈ«²¿½»¸øÁË¿ªÆÕÀÕ£¬ÔÙÈý¶£Öö¿ªÆÕÀÕÒª¼ÌÐøËûµÄ¹¤×÷£¬²¢½«¹Û²ì½á¹û³ö°æ³öÀ´¡£¿ªÆÕÀÕ½Ó¹ýÁ˵ڹÈÉÐδÍê³ÉµÄÑо¿¹¤×÷£¬Ò²½ÓÌæÁ˵ڹȵÄְ룬±»Æ¸Îª»ÊµÛµÄÊýѧ¼Ò¡£È»¶ø»ÊµÛ¶ÔËûÊ®·Öã¥Áߣ¬¸øËûµÄнٺ½ö½öÊǵڹȵÄÒ»°ë£¬»¹Ê±³£ÍÏÇ·²»¸ø¡£ËûµÄÊÕÈ뻹²»×ãÒÔÑø»îÄêÂõµÄĸÇ×ºÍÆÞ¶ù£¬Òò´ËÉú»î·Ç³£À§¿à¡£µ«¿ªÆÕÀÕÈ´´ÓδÖжϹý¿ÆÑ§Ñо¿£¬¾ÍÊÇÔÚÕâÖÖ¼è¿àµÄ»·¾³Ï£¬ËûÔÚÌìÎÄѧ·½ÃæÈ¡µÃÁËÐí¶àÖØÒªµÄ³É¹û¡£¡¡
ÔçÆÚ¿ªÆÕÀÕÉîÊܰØÀͼºÍ±Ï´ï¸çÀ˹ÉñÃØÖ÷ÒåÓîÖæ½á¹¹ÂÛµÄÓ°Ï죬ÓÃÊýѧµÄºÍгÐÔȥ̽Ë÷ÓîÖæ¡£ËûµÄ¿ÆÑ§Ë¼ÏëÖгäÂúÁËËùνÊý×ÖÉñÃØÖ÷ÒåµÄÉ«²Ê£¬ËûÌØ±ð½¾°ÁµÄÊÇËûÔçÆÚµÄ¡°·¢ÏÖ¡±£¬¼´ÐÐÐǹìµÀµÄÊýÄ¿¡¢´óС¼°Æä˳ÐòÓëÎåÖÖ£¨¶øÇÒÖ»ÓÐÎåÖÖ£©¹æÔòµÄ¼¸ºÎÌåµÄ´æÔÚÖ®¼äÓÐ×ÅÖ±½ÓµÄ¹ØÏµ¡£ÔÚËû×îΰ´óµÄ·¢ÏÖÖУ¬ÓÐÒ»ÏîÊÇËûÐÒÔ˵ظù³ýÁËÒ»¸öÖØÒªµÄÊýѧÎó²îµÄÓ°Ïì¶ø»ñµÃµÄ£¬²»¹ý£¬ËûÊÇÓÃÁíÒ»¸öÎó²îÀ´µÖÏûµÚÒ»¸öÎó²îµÄÓ°ÏìµÄ¡£ºóÀ´ËûÔÚÙ¤ÀûÂÔµÄÓ°ÏìÏ£¬Í¨¹ý¶ÔÐÐÐÇÔ˶¯½øÐÐÉîÈëµÄ¹Û²ìºÍÑо¿£¬Öð²½×ßÉÏÁË¿ÆÑ§Ì½Ë÷ÕæÀíµÄµÀ·
¡£ËäÈ»¿ªÆÕÀÕµÄÊÓÁ¦²»¼Ñ£¬µ«Ëû»¹ÊÇ×÷Á˲»Éٹ۲⹤×÷¡£1604Äê9ÔÂ30ÈÕÔÚÉß·ò×ù¸½½ü³öÏÖÒ»¿ÅÐÂÐÇ£¬×îÁÁʱ±ÈľÐÇ»¹ÁÁ¡£¿ªÆÕÀÕ¶ÔÕâ¿ÅÐÂÐǽøÐÐÁË17¸öÔµĹ۲Ⲣ·¢±íÁ˹۲â½á¹û¡£ÀúÊ·ÉϳÆËüΪ¿ªÆÕÀÕÐÂÐÇ(ÕâÊÇÒ»¿ÅÒøºÓϵÄڵij¬ÐÂÐÇ)¡£

¿ªÆÕÀÕÑо¿ÌìÌåÔ˶¯ÊÇ´Ó¶Ô»ðÐǹìµÀµÄÑо¿¿ªÊ¼µÄ¡£ÒòΪÔÚµÚ¹ÈÁôϵÄÊý¾Ý×ÊÁÏÖлðÐǵÄ×ÊÁÏ×î·á¸»£¬¶ø¸ç°×ÄáµÄÀíÂÛÔÚ»ðÐǹìµÀÉϵÄÓкÜһЩƫÀë¡£¿ªÊ¼¿ªÆÕÀÕÓÃÕýÔ²±àÖÆ»ðÐǵÄÔËÐÐ±í£¬µ«ÊÇÒÀÕÕÕâ¸ö·½·¨À´Ô¤²âÎÀÐǵÄλÖã¬È´ÓëµÚ¹ÈµÄÊý¾Ý²»·û£¬²úÉúÁË8·ÖµÄÎó²î£¬·¢ÏÖ»ðÐÇÀÏÊdzö¹ì¡£¿ªÆÕÀÕÖªµÀµÚ¹ÈµÄʵÑéÊý¾ÝÊÇ¿ÉÐŵģ¬ÄÇô´íÎ󾿾¹³öÔÚÄĶùÄØ£¿¿ªÆÕÀÕÃô¸ÐµÄÒâʶµ½»ðÐǵĹìµÀ²¢²»ÊÇÒ»¸öÔ²ÖÜ£¬Ëû´óµ¨µÄÅׯúÁ˳¤ÆÚÒÔÀ´ÈËÃÇÈÏΪÌìÌåÊÇÒÔ¡°ÔÈËÙÔ²ÖÜÔ˶¯¡±µÄ¹ÛÄî¡£ÔÚ½øÐÐÁËÎÞÊý´ÎµÄÊÔÑéºó£¬ËûÕÒµ½ÁËÓëÊÂʵ½ÏΪ·ûºÏµÄ·½°¸¡£Õâ8·ÖµÄÎó²îÏ൱ÓÚÃëÕë0.02Ãë˲¼äת¹ýµÄ½Ç¶È¡£ÔÚ½øÐÐÁ˶à´Î¹Û²ìºó£¬¿ªÆÕÀÕÖÕÓÚ·¢ÏÖÕâ¸öÇúÏß¾ÍÊǹÅÏ£À°Êýѧ¼ÒÔçÒÔÑо¿¹ýµÄÍÖÔ²£»Í¬Ê±Ò²·¢ÏÖÿ¸öÐÐÐǶ¼ÑØ×ÅÍÖÔ²¹ìµÀÔËÐУ¬Ëû»¹ÓÃÈý½Ç¶¨µã·¨²â³öµØÇòµÄ¹ìµÀÒ²ÊÇÍÖÔ²£¬¶Ï¶¨ËüÔ˶¯µÄÏßËٶȸúËüÓëÌ«ÑôµÄ¾àÀëÓйء£
Õâ¾ÍÊÇÐÐÐÇÔ˶¯µÄµÚÒ»Ô˶¯¶¨ÂÉ----¹ìµÀ¶¨ÂÉ¡£ÕýÊÇÕâ¸ö²»ÈݺöÂÔµÄ8·ÖÆ«À룬ʹ¿ªÆÕÀÕ×ßÉÏÁËÌìÎÄѧ¸Ä¸ïµÄµÀ·¡£
ºóÀ´ËûÓÖͨ¹ý¼ÆËã·¢ÏÖ£ºÐÐÐǵ½Ì«ÑôµÄÁ¬Ïߣ¨Ê§¾¶£©ÔÚµ¥Î»Ê±¼äÀïɨ¹ýµÄÃæ»ýÊDz»±äµÄ¡£ÕâÑù¾ÍµÃ³öÁ˹ØÓÚÐÐÐÇÔ˶¯µÄµÚ¶þÌõ¶¨ÂÉ----Ãæ»ý¶¨ÂÉ£º¡°ÐÐÐǵÄÏò¾¶ÔÚÏàµÈµÄʱ¼äÄÚɨ¹ýÏàµÈµÄÃæ»ý¡£¡±ÕâÁ½Ìõ¶¨ÂÉ£¬¿¯µÇÓÚ1609Äê³ö°æµÄ¡¶ÐÂÌìÎÄѧ¡·Ò»Êé¡£ÊéÖÐËû»¹Ö¸³ö£¬ÕâÁ½Ìõ¶¨ÂÉͬÑùÊÊÓÃÓÚÆäËûÐÐÐǺÍÔÂÇòµÄÔ˶¯¡£
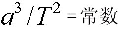
µ«ÊÇ¿ªÆÕÀÕ²¢Ã»ÓÐÂú×ãÓÚ´Ë£¬ËûÈÏΪֻÓÐÕÒµ½¸÷¸öÐÐÐÇÔ˶¯µÄͳһ¹ØÏµÖ®ºó£¬²ÅÄܹ»¹¹ÔìÒ»¸öÌ«ÑôϵµÄÕûÌåÄ£ÐÍ£¬´Ó¶ø½Òʾ³öÓîÖæµÄºÍгÓëÒ»Ö¡£Ëû»¨ÁË´óÁ¿µÄʱ¼ä¼ÆËãÓë·ÖÎöÐÐÐÇÓëÌ«ÑôµÄ¾àÀëaºÍÐÐÐǹ«×ªÖÜÆÚTÖ®¼äµÄ¹ØÏµ¡£¾¹ý10 ÄêµÄŬÁ¦£¬×öÁË´óÁ¿·´¸´µÄ¹Û²ìºÍ¼ÆËãºó£¬ÖÕÓÚ·¢ÏÖÁËÐÐÐÇÔ˶¯µÄµÚÈýÌõ¶¨ÂÉ£º¡°ÐÐÐǹ«×ªÖÜÆÚµÄÆ½·½µÈÓÚ¹ìµÀ°ë³¤ÖáµÄÁ¢·½¡£¡±

ÕâÒ»½á¹û·¢±íÔÚ1619Äê³ö°æµÄ¡¶ÓîÖæºÍгÂÛ¡·ÖС£¿ªÆÕÀÕ¿ª´´ÁËÓÃÊýѧ¹«Ê½±í´ï¶¨ÂɵĿªÏȺӡ£ÐÐÐÇÔ˶¯Èý¶¨Âɵķ¢ÏÖΪÌìÎÄѧµì¶¨ÁË»ù´¡£¬¿ªÆÕÀյŤ×÷Ϊţ¶Ù·¢ÏÖÍòÓÐÒýÁ¦¶¨ÂÉ×÷ÁËÔ˶¯Ñ§µÄ×¼±¸£¬µ¼ÖÂÊýÊ®ÄêºóÍòÓÐÒýÁ¦¶¨Âɵķ¢ÏÖ¡£
µÚ¹ÈµÄ¹Û²ìÕûÕû³ÖÐøÁË30Ä꣬ËûʹÓÃÁ˾«ÃܵÄÒÇÆ÷£¬ÓÐÃ÷È·µÄ¶ÔÏóÓëÍêÕûµÄ¼Ç¼£¬¾ÍÊÇ˵ËûµÄ¹Û²ìÊÇÍêÕûºÍÓÐЧµÄ¡£µ«ÊÇÈçºÎ°ÑÒþ²ØÔÚÊý¾ÝÖйæÂÉÍÚ¾ò³öÀ´£¬ÐèÒªÓбȽ϶àµÄÊýѧ֪ʶ¡£µÚ¹ÈֻɯÓÚÊÕ¼¯ÐÅÏ¢£¬¿ÉËû²¢²»ÉÆÓÚ½øÐÐÊý¾Ý·ÖÎö¡£¾ÍÏñ¿ªÆÕÀÕ˵µÄÄÇÑù£º¡°µÚ¹ÈÊÇÒ»¸ö¡®°ÙÍò¸»ÎÌ¡¯£¬µ«ÊÇËû²»»áÓÃÕâЩ²Æ¸»¡±¡£¶ø¿ªÆÕÀÕÊÇÔÚµÚ¹È30ÄêÊÕ¼¯µÄ¹Û²âÊý¾ÝµÄ»ù´¡ÉÏ£¬Ê¹ÓÃÊýѧÕâ¸öÓÐÀûµÄ¹¤¾ß£¬¾¹ý17ÄêµÄ¼è¿àŬÁ¦£¬½øÐÐÁË´óÁ¿Êý¾Ý·ÖÎöÓë¼ÆËãÖ®ºó£¬×îÖÕ·¢ÏÖÁËÐÐÐǵÄÈý´óÔ˶¯¶¨ÂÉ£¬ÕâÒ²ÓëËûµÄÊýѧֱ¾õÊÇÓкܴó¹ØÏµ¡£
¿ªÆÕÀÕµÄÌìÎÄѧ£¬ÍêÈ«ÊǸù¾ÝÕâһѧ¿ÆµÄÄ¿µÄ¡¢·½·¨ºÍ»ù±¾ÔÀí¶ÔËü½øÐеÄÒ»´ÎÈ«ÃæµÄÖØ½¨¡£ÔÚ¿ªÆÕÀÕÒÔǰ£¬ÌìÎÄѧ¼ÒµÄÄ¿±ê´¿´âÊÇÉãӰʽµÄ£¬Ò²¾ÍÊÇ˵£¬ËûÃǵÄÄ¿µÄÊÇÒª´´½¨Ò»ÖÖ£¨ÒÔÒ»¸öÔ²Ì×Ò»¸öԲΪ»ù´¡µÄ£©ÌìÌ弸ºÎѧ£¬ÕâÖÖ¼¸ºÎѧ¸ø³öµÄÐÐÐǵÄλÖÃÊÇÓë¹Û²ìÏàÒ»Öµġ£¿ªÆÕÀÕÒªÕÒ³öÔ˶¯ÕæÕýµÄÎïÀíÔÒò£¬Ò༴Ô˶¯µÄÀíÓÉ£¬¶ø²»½ö½öÊÇÈ¥·¢Ã÷»òÍêÉÆ¼¸ºÎϵͳ¡£ÒòΪËûÈÏΪ£¬Ì«ÑôÊÇÕâÀïËù˵µÄ¶¯Á¦µÄÖÐÐÄ£¬Ì«Ñô¿Ï¶¨Î»ÓÚÓîÖæµÄÖÐÐÄ¡£Òò´Ë£¬ÕæÕýµÄÌ«Ñô¡ª¡ª¶ø²»ÊǸç°×ÄáµÄ¡°Æ½Ì«Ñô¡±¡ª¡ªÎ»ÓÚËùÓÐÐÐÐǹìµÀÆ½Ãæ¹²Í¬µÄ½»²æµã¡£
¿ªÆÕÀÕ¹ØÐĵÄÊÇ£¬ÔÚ¶Ô¹ìµÀ¡¢¶ÔÔÈËÙÔ˶¯µÈµÈÍêȫûÓÐÈκÎËæÒâµÄ»òÓÐÏÞÖÆÁ¦µÄÏÞ¶¨µÄÇé¿öÏ£¬½èÓÃÊýѧÀ´ÕÒ³öÓÉÌ«ÑôµÄ×÷ÓÃÁ¦ËùÖµÄʵ¼ÊµÄÐÐÐǹìµÀµÄÇúÏߣ¨´óС¡¢ÐÎ×´¡¢·½Ïò£©¡£¾¹ýÒ»·¬ÐÁ¿àµÄŬÁ¦Ëû·¢ÏÖ£¬Ã¿Ò»¿ÅÐÐÐǶ¼ÊÇÔÚ³ÊÍÖÔ²Ðεġ¢¼òµ¥Í¹ÇúÏߵĹìµÀÉÏÔ˶¯¡£¶Ô´ó¶àÊýÐÐÐǶøÑÔ£¨Ë®ÐdzýÍ⣩£¬ÆäÍÖÔ²ÐιìµÀµÄÐÎ×´Óë´¿Ô²ÐÎÏà²î²»´ó£¬µ«ÊÇ£¬Ì«Ñô²¢·Çλ´¦ÖÐÐÄ£¬ÉõÖÁ²»ÊÇ´¦ÔÚ½Ó½üÖÐÐĵÄλÖÃÉÏ£»Çé¿öºÜÏñÊÇÕâÑù£¬ÓÐÒ»¸öÔ²ÐιìµÀ£¨»òÕß˵£¬×¼Ô²ÐεÄÍÖÔ²¹ìµÀ£©£¬¶øÌ«ÑôÃ÷ÏԵز»ÔÚËüµÄÖÐÐÄÉÏ£¨»òÕß˵ÊÇÆ«ÀëÖÐÐĵģ©¡£¿ªÆÕÀÕ»¹·¢ÏÖ£¬ÐÐÐÇÑØ×ÅÍÖÔ²¹ìµÀµÄÔ˶¯£¬²¢·ÇÊÇÔÈËٵ쬶øÊÇÖ±½ÓÓëÃæ»ý¶¨ÂÉÏàÎǺϵġ£Õâ¸ö¶¨ÂÉͬʱ½âÊÍÁËΪʲôÿ¸öÐÐÐÇÔÚ½ü±Èµã£¨»òÔÚ¿¿½üÌ«ÑôµÄ¹ìµÀÉÏ£©Ô˶¯µÃºÜ¿ì£¬¶øÔÚÔ¶Èյ㣨ԶÀëÌ«ÑôµÄµØ·½£©È´Ô˶¯µÃºÜÂý¡£
¿ªÆÕÀÕΪÌìÎÄѧµÄ·¢Õ¹Ìá³öÁËÒ»¸ö¸ïÃüÐԵĸÙÁì¡£ÒòΪËûÊÇһλϲ»¶·´Ë¼µÄÈË£¬Ëû½ÏΪÏêʵµØ¼Ç¼ÁËËûµÄ˼Ïë¹ÛµãºÍ·½·¨µÄ·¢Õ¹¹ý³Ì¡£ËûÔÚ¡¶ÐÂÌìÎÄѧ¡·ÖУ¬Ëû·Ç³£ÉóÉ÷¶øÏêϸµØ²ûÊöÁËËûµÄ˼Ïë¸ïÃüºÍÐÅÑö¸ïÃüµÄ¸÷¸öʱÆÚ£»Ëû°Ñ´íÎóµÄ¼ÆËã½á¹ûÒ²¶¼¼ÇÁËÏÂÀ´£¬ÕâÑù£¬¶ÁÕ߾ͿÉÒÔÁ˽⵽ËûµÄ˼ÏëºÍ¼ÆËãµÄÑݱä¹ý³Ì£¬ÕâЩ·¢Õ¹±ä»¯µ¼ÖÂËû×îÖÕÅׯúÁË´«Í³µÄÔ²ÖÜÔ˶¯ÌìÎÄѧ£¬²¢ÇÒ¿ªÊ¼Ì½Ë÷ÆäËûÀà¿ÉÄܵĹìµÀµÄÇúÏß¡£ËäÈ»¶ÁÕß»á¶ÔºóÃæÒ»Ò³ÓÖÒ»Ò³¶Ô¿ªÖ½ÉÏÏÝÈë¾ø¾³µÄ¼ÆËã¸Ðµ½Ñá·³£¬µ«¿ªÆÕÀÕÌáÐÑ×Ô¼º²»ÒªÍüÁËËû¿¿ÊÖËãÍê³ÉÕâЩ¼ÆËã³ÔÁ˶àÉÙ¿à¡£Ôڵõ½Á˴𰸺ó£¬Ëû°ÑËüÃǸ¶Ñù³ö°æÁË¡£Ëæ×ÅËûµÄÖ÷ÒªÖø×÷¡ª¡ª»ò¡¶ÓîÖæµÄ°ÂÃØ¡·£¨1596£©¡¢¡¶ÐÂÌìÎÄѧ¡·£¨1609£©¡¢¡¶Â³µÀ·òÐÇ±í¡·£¨1627£©¡¢»ò¡¶ÓîÖæºÍгÂÛ¡·£¨1619£©ÒÔ¼°¡¶¸ç°×ÄáÌìÎÄѧ¸ÅÒª¡·£¨1618£162£©µÈµÄ³ö°æ£¬Ò»³¡Ë¼Ïë¸ïÃüÍêÈ«±ä³ÉÁËÂÛÖøÖеĸïÃü£¬ÊéÒѳö°æ£¬Ë¶¼¿ÉÒÔÔĶÁºÍÀûÓá£
¿ªÆÕÀÕµÄÈý´ó¶¨ÂÉ£¬¾«È·µÄÃèÊöÁËÐÐÐÇÔ˶¯µÄÕæÊµ¹ì¼££¬±»ÈËÃdzÆÎªÌì¿ÕµÄÁ¢·¨Õß¡£
1630Ä꿪ÆÕÀÕÒòΪÒѾ¼¸¸öÔÂûÓÐÁ쵽нˮ£¬¾¼Ã·Ç³£À§ÄÑ£¬²»µÃ²»Ç××ÔǰÍùÀ׸ù˹±¤Ë÷È¡¡£¿ÉËû¸Õµ½ÄÇÀï¾Í¿ªÊ¼·¢¸ßÉÕ£¬¼¸Ììºó1630Äê11ÔÂ15ÈÕËûÔÚÆ¶²¡½»À§ÖÐÈ¥ÊÀÁË¡£ËûËÀʱ£¬³ýһЩÊé¼®ºÍÊÖ¸åÖ®Í⣬ÉíÉϽöÊ£ÏÂÁË7·ÖÄᣨ1Âí¿ËµÈÓÚ100·ÖÄᣩ¡£
¿ªÆÕÀÕËù´¦µÄÄê´úÕýֵŷÖ޴ӷ⽨Ö÷ÒåÉç»áÏò×ʱ¾Ö÷ÒåÉç»áת±äµÄʱÆÚ£¬ËûÓÃ×Ô¼º³¤ÆÚÑо¿µÄ³É¹ûÓëÉñȨµÄÃÔÐŹ۵ã×ö¶·Õù£¬Ê¹ÈËÀàµÄ¿ÆÑ§Ïòǰ¿ç½øÁËÒ»´ó²½¡£Âí¿Ë˼¸ß¶ÈÆÀ¼ÛÁË¿ªÆÕÀյį·¸ñ£¬³ÆËûÊÇ×Ô¼ºËùϲ°®µÄÓ¢ÐÛ¡£
¡¡
|